
电商仓库退换货处理SOP:从验收到上架的全链路优化
kdniao
来源:互联网 | 2025-09-01 14:10:04
电商购物越来越方便,但退换货问题一直是商家和消费者的共同困扰。许多消费者遇到过退货后迟迟等不到退款,商家也常因货品处理不及时导致库存积压或二次销售失误。退换货环节的效率低下不仅影响用户体验,也让企业承担额外成本。为解决这一难题,退换货处理SOP全链路优化成为关键——通过标准化流程设计,从商品验收到重新上架的每个环节都能精准衔接,真正实现效率与体验的双赢。
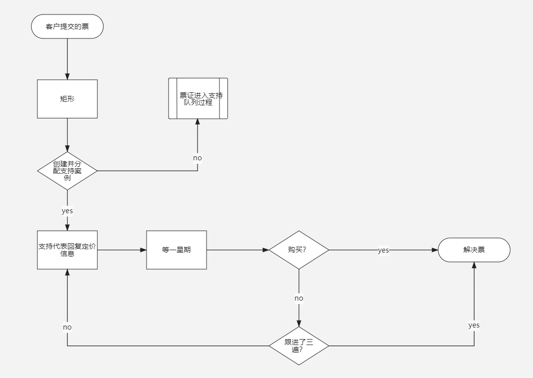
退货商品到达仓库后,验收环节的混乱往往导致后续纠纷。明确验收标准是优化的第一步:例如,包装是否完好、商品功能是否正常、配件是否齐全等,都需要用清晰的图文指南为验收人员提供判断依据。同时,建议使用智能设备(如扫码枪或拍照系统)记录商品状态,留存可视化证据。这样做不仅减少因责任认定模糊引发的纠纷,还能缩短每单处理时间。通过验收标准化,企业能快速筛选可二次销售的商品,降低损耗率,也让消费者对退换货流程更放心。
传统仓库依赖人工分拣退换货商品,容易出现错分、漏分的问题。引入自动化分拣系统后,商品可根据条码或标签自动归类至不同区域:需质检的商品进入复检通道,可直接上架的则流转至存储区,残次品则单独隔离。结合仓库管理系统(WMS)的实时数据更新,分拣员能通过手持终端快速获取分拣指令,避免依赖经验导致的失误。这一模式大幅降低人工干预比例,减少商品在中间环节的滞留时间,让退换货周期从“按天计算”压缩到“按小时完成”,显著提升企业库存周转能力。
退换货商品重新上架的延迟,常导致前台显示“缺货”而仓库实际有货的尴尬局面。优化库存同步机制是核心:当验收通过的商品完成分拣后,系统需立即释放库存数据,确保电商页面实时更新可售数量。对于需要复检的商品,可设置优先级标签,推动质检部门优先处理。此外,针对服饰、电子产品等特殊品类,建议建立“快速上架通道”——例如预打包或预贴标处理,让商品无需进入常规入库流程即可直接上架销售。这种端到端的打通,既能减少重复搬运带来的损耗,也让消费者更快看到商品回归货架,提高企业销售机会。
退换货处理看似是电商流程的“末端环节”,实则直接影响用户忠诚度和企业成本控制。通过全链路优化,企业不仅能将退换货周期缩短,还能减少人力与仓储资源的浪费。更重要的是,标准化的SOP让每一件商品从退货到再次销售都有迹可循,既保障消费者权益,也为企业沉淀可复用的管理经验。当退换货不再成为负担,而是转化为提升运营效率的突破口,电商平台与商家才能真正实现“退得省心,卖得放心”。

相关产品推荐
相关方案推荐
通过数字仓储+数字规划+智能配送+数字签收,为酒水厂商和经销商搭建分仓直配、统仓共配模式网络,有效盘活渠道库存,实现实现仓配资源和全渠道一盘货的智能整合,让供应链条更短、更灵活、更高效;同时为银行金融质押业务提供基础前提
新加坡海运门到门专线是广州东际国际货运代理有限公司的主要优势航线之一,专线成立于2011年,至今已成熟经营运作十年以上,是目前中国新加坡专线中领头者。散货拼箱平均每天发货拼柜1-3个集装箱发往新加坡,即来即装、即装即走零库存速度优势。公司以广州为中心,在深圳、东莞、佛山、中山、新加坡等地都设有自己的货物集散中心
阿联酋航空是全球发展最快的航空公司,拥有最年轻及现代化的机队,获得《航空运输世界》货运服务类金奖,以迪拜为中转中心,覆盖中东、非洲、欧洲全境。华霖物流作为阿联酋航空核心包板、包量和指定销售代理,利用毗邻香港机场得天独厚的地理优势,每天发车过港交仓,中转速度快捷。航线:香港--迪拜--中东/欧洲/非洲。